




2025-05-20
What was never counted...
The fundamental question
What we are going to do
Numerical experiment
What’s NEXT
UNSEEN
This is Nilu.
She went to the pharmacy today to get contraceptive Product A.
But it wasn’t in stock.
UNSEEN
She didn’t go to the pharmacy today.
Why would she?
The last two times she went, they didn’t have the product she needed.
The system doesn’t know this.
It sees “no demand” and it continously logs Nilu’s silence as data.
UNSEEN
When data is censored by stockouts or service interruptions…
…forecasts fail.
Not just by being wrong, But by being blind.
This creates a broken trust and leads to
UNMET DEMAND.
UNSEEN
In reality…
There are more than
218 million women
like Nilu still have an unmet need for family planning.
Ultimately, this results in dropouts, unwanted pregnancies, and almost 7 million hospitalizations each year in developing countries.
SUBSTITUTED
Stockouts: Periods when demand is higher than available inventory, leading to censored observations of demand.
Interruptions: Periods when no products are issued despite available stock, thus artificially recorded as zero demand.
Censored Demand: Demand occurring during periods when products are unavailable (stockouts or interruptions), thus not fully observable.
True Demand: Actual demand that would have occurred if sufficient stock was available.
How can a demand forecasting and inventory optimization model that incorporates lost sales estimation and contextual field data enhance contraceptive supply chain performance and reduce stockouts in developing countries?
Figure 1: Censorship scenarios in family planning supply chains.
critical

RQ1: How accurately can a Tobit Kalman Filter with conformal prediction estimate true demand under censorship?RQ2: How does demand reconstruction improve inventory performance compared to baseline planning methods?RQ3: How do planners adjust their orders in response to proposed model-generated recommendations?


Actual vs. observed demand for one representative series per type × category, with disruptions and censoring shaded.
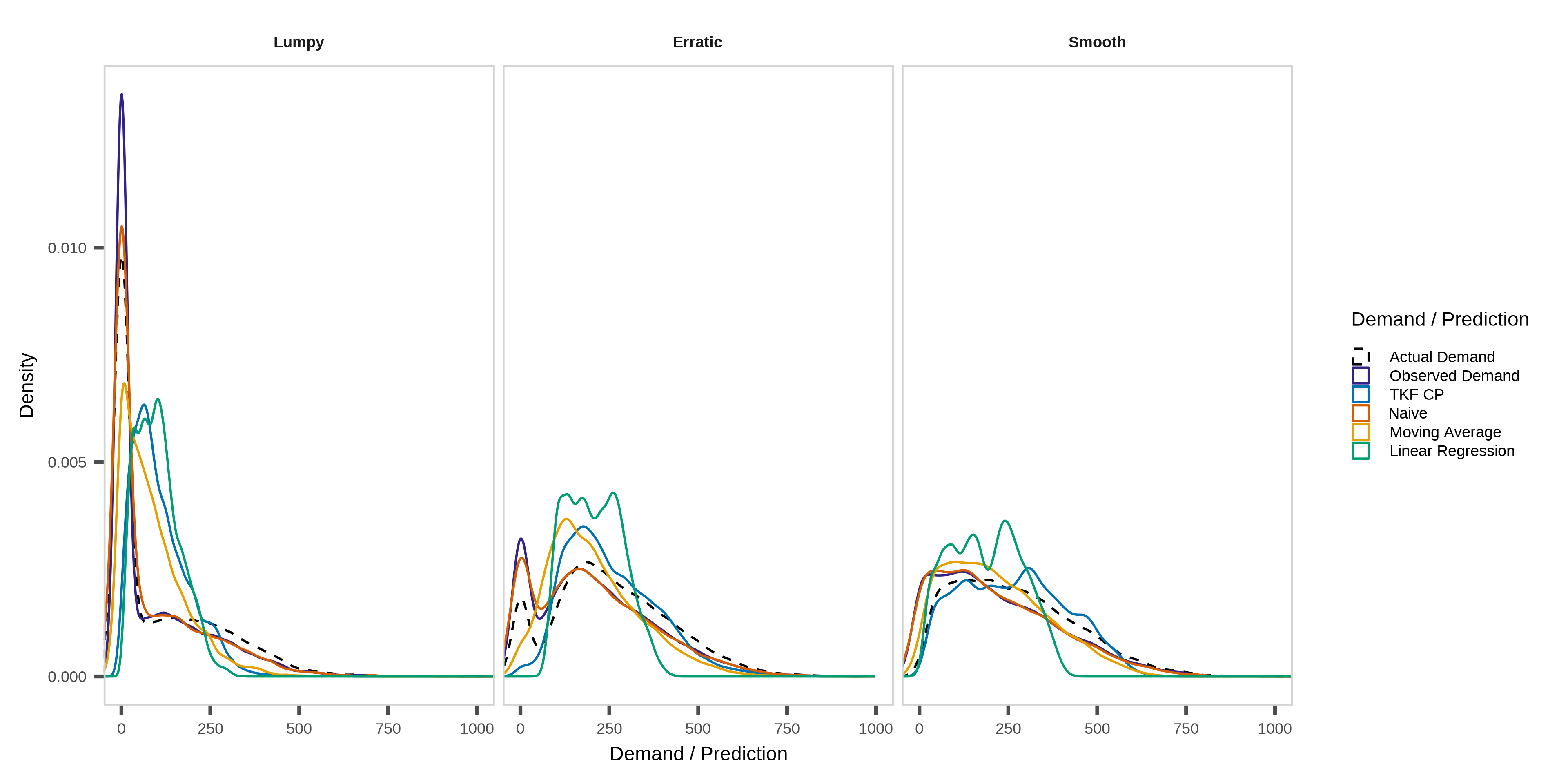
Figure 2: Actual vs. forecasted demand distributions for the different forecasting methods.
| Method | MASE (mean) | Pin Ball Loss - q95 (mean) | CSL (mean) | Lost Sales Rate (mean) | Inventory coverage (mean) |
|---|---|---|---|---|---|
| TKF CP | 0.87 | 47.61 | 0.86 | 0.14 | 5.25 |
| Moving Average | 1.06 | 72.65 | 0.82 | 0.18 | 19.6 |
| Linear Regression | 1.08 | 73.86 | 0.82 | 0.16 | 2.55 |
| Naive | 1.21 | 78.89 | 0.84 | 0.16 | 123.38 |
Figure 3: Average ranks of forecasting methods with 95% confidence intervals based on the Nemenyi test for all metrics. Lower ranks indicate better performance.
Figure 4: Forecasting metrics for each series type for the different forecasting methods.
Figure 5: Inentory metrics for each series type for the different forecasting methods.
NEXT
Develop a more comprehensive inventory policy using forecasted quantiles → Incorporate uncertainty directly into order decisions
Extend empirical model with external covariates → Account for special events, disruptions, and policy shifts
Conduct lab experiment with real demand planners → Measure how model recommendations affect decision-making

You can find the slides here.